今天我們來深入了解一下第一種組態,共發射放大電路的詳細資料。
首先請了解一下共發射放大電路圖(如下):

因具有電流與電壓放大增益,所以廣泛應用在放大器電路。其電路特性歸納如下:
輸入與輸出阻抗中等(Ri約1k~5k ;RO約50k)。
電流增益:

電壓增益:

負號表示輸出信號與輸入信號反相(相位差180°)。
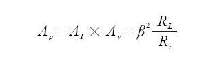
功率增益:

烜芯微專業制造二極管,三極管,MOS管,橋堆等20年,工廠直銷省20%,1500家電路電器生產企業選用,專業的工程師幫您穩定好每一批產品,如果您有遇到什么需要幫助解決的,可以點擊右邊的工程師,或者點擊銷售經理給您精準的報價以及產品介紹

