mos管場效應管(FET),把輸入電壓的變化轉化為輸出電流的變化。FET的增益等于它的跨導, 定義為輸出電流的變化和輸入電壓變化之比。市面上常有的一般為N溝道和P溝道,詳情參考右側圖片(P溝道耗盡型MOS管)。而P溝道常見的為低壓mos管。
一個電場在一個絕緣層上來影響流過晶體管的電流。事實上沒有電流流過這個絕緣體,所以FET管的GATE電流非常小。最普通的FET用一薄層二氧化硅來作為GATE極下的絕緣體。這種晶體管稱為金屬氧化物半導體(MOS)晶體管,或,金屬氧化物半導體場效應管(MOSFET)。因為MOS管更小更省電,所以他們已經在很多應用場合取代了雙極型晶體管。

MOS管二級效應
MOS管的二級效應主要有三種:背柵效應、溝道長度調制效應、亞閾值效應。
背柵效應
在很多情況下,源極和襯底的電位并不相同。對NMOS管而言,襯底通常接電路的最低電位,有VBS≤0;對PMOS管而言,襯底通常接電路的最高電位,有VBS≥0。這時,MOS管的閾值電壓將隨其源極和襯底之間電位的不同而發生變化。這一效應稱為“背柵效應”。
以NMOS管為例,當NMOS管VBS<0時,閾值電壓的變化規律。隨著VGS上升,柵極吸引襯底內部的電子向襯底表面運動,并在襯底表面產生了耗盡層。當VGS上升到一定的電壓——閾值電壓時,柵極下的襯底表面發生反型,NMOS管在源漏之間開始導電。
閾值電壓的大小和耗盡層的電荷量有關,耗盡層的電荷量越多,NMOS管的開啟就越困難,閾值電壓——也就是開啟NMOS需要的電壓就越高。當VBS<0時,柵極和襯底之間的電位差加大,耗盡層的厚度也變大,耗盡層內的電荷量增加,所以造成閾值電壓變大。隨著VBS變小,閾值電壓上升,在VGS和VDS不變的情況下,漏極電流變小。因而襯底和柵極的作用類似,也能控制漏極電流的變化。所以我們稱它為“背柵”作用。
在電路設計上可采取一些措施來減弱或消除襯偏效應,例如把源極和襯底短接起來,當然可以消除襯偏效應的影響,但是這需要電路和器件結構以及制造工藝的支持,并不是在任何情況下都能夠做得到的。例如,對于p阱CMOS器件,其中的n-MOSFET可以進行源-襯底短接,而其中的p-MOSFET則否;對于n阱CMOS器件,其中的p-MOSFET可以進行源-襯底短接,而其中的n-MOSFET則否。
另外可以改進電路結構來減弱襯偏效應。例如,對于CMOS中的負載管,若采用有源負載來代替之,即可降低襯偏調制效應的影響(因為當襯偏效應使負載管的溝道電阻增大時,有源負載即提高負載管的VGS來使得負載管的導電能力增強)。
溝道長度調制效應
MOS晶體管中,柵下溝道預夾斷后、若繼續增大Vds,夾斷點會略向源極方向移動。導致夾斷點到源極之間的溝道長度略有減小,有效溝道電阻也就略有減小,從而使更多電子自源極漂移到夾斷點,導致在耗盡區漂移電子增多,使Id增大,這種效應稱為溝道長度調制效應。
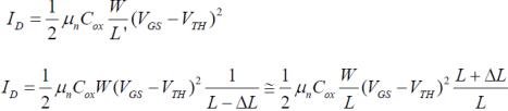
當MOS管工作在飽和區,導電溝道產生夾斷,溝道的長度從L變成了L’,L’
此時電流公式改寫為:

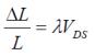
我們采用一個簡單的參數λ來表示VDS對漏極電流ID的影響,定義:

由此可以得到考慮了溝道長度調制效應的MOS管飽和區的電流公式:

由于λ∝1/L,對于長溝道的器件而言(例如L>10um), λ的數值很小,λVDS<<1,所以這個誤差可以忽略。而溝道越短,這個誤差就越大。事實上,對于短溝道的MOS管,用一個簡單的參數λ來體現溝道長度調制效應是非常不準確的。因而我們有時會發現,電路
電路仿真的結果和用公式計算出來的結果完全不同。所以說一階的近似公式更主要的是起到電路設計的指導作用。
亞閾值效應
在前面對MOS管導電原理的分析中,我們認為當柵源電壓VGSVTH,溝道內就出現了電流。而實際情況并不是這樣。即使在VGS

來表示。其中ID0是和工藝有關的參數,η是亞閾值斜率因子,通常滿足1<η<3。當VGS滿足
的條件時,一般認為MOS管進入了亞閾值區域.
的條件時,一般認為MOS管進入了亞閾值區域.當
時,稱MOS管工作在強反型區。
時,稱MOS管工作在強反型區。當
時,時稱MOS管工作在強反型區。
時,時稱MOS管工作在強反型區。強反型區和弱反型區的劃分其實也是對MOS管實際工作特定的一種近似,只是它比前面講到的MOS管的一階近似更加準確。從公式上分析,強反型區和弱反型區之間同樣存在著電流不連續的問題。為了解決這一問題,也是為了建立更精確的MOS管模型,在這兩個區之間又定義了中等反型區。
對于斜率因子η的解釋要從MOS管的電流變化講起。表征亞閾值特性的一個重要參數是柵極電壓的變化幅度,也就是MOS管從電流導通到電流截止時所需要的柵極電壓的變化量。這一特性用亞閾值斜率S來表示。S定義為亞閾值電流每變化10倍(一個數量級)所要求柵極電壓的變化量。S越小意味著MOS管的關斷性能越好。
烜芯微專業制造二極管,三極管,MOS管,橋堆20年,工廠直銷省20%,1500家電路電器生產企業選用,專業的工程師幫您穩定好每一批產品,如果您有遇到什么需要幫助解決的,可以點擊右邊的工程師,或者點擊銷售經理給您精準的報價以及產品介紹
烜芯微專業制造二極管,三極管,MOS管,橋堆20年,工廠直銷省20%,1500家電路電器生產企業選用,專業的工程師幫您穩定好每一批產品,如果您有遇到什么需要幫助解決的,可以點擊右邊的工程師,或者點擊銷售經理給您精準的報價以及產品介紹

